Mobilní aplikace na podporu lidí s hraniční poruchou osobnosti
Cílem projektu byl návrh mobilní aplikace, která se zaměřuje na podporu uživatelů s hraniční poruchou osobnosti (HPO) prostřednictvím tréninku dovedností z dialekticko-behaviorální terapie (DBT).
- Moje role: UX designer, UI designer, výzkumník, autor konceptu
- Doba trvání: 6 měsíců (2022-2023)
- Projekt: bakalářská práce
Definování problému
Lidé s hraniční poruchou osobnosti (HPO) často čelí intenzivním emočním výkyvům, impulzivitě a vztahovým potížím, které mohou zásadně ovlivňovat jejich každodenní fungování. Dialekticko-behaviorální terapie (DBT) se v léčbě těchto potíží osvědčuje jako účinný přístup, ale její dostupnost je v Česku omezená, a mimo terapeutická sezení chybí nástroje pro kontinuální podporu.
Digitální podpora by mohla významně pomoci s udržením nabytých dovedností i v běžném životě. V současnosti není dostupná žádná aplikace na českém trhu a většina dostupných zahraničních aplikací je často zahlcující, nepřehledná a nemusí respektovat specifika kognitivního zatížení, se kterým se lidé s HPO potýkají. Uživatelé potřebují prostředí, které je klidné, přehledné a bezpečné. Nepotřebují další nástroj, který přidává stres.
Výzvou bylo navrhnout aplikaci, která:
- nepůsobí zahlcujícím dojmem,
- je intuitivní i v krizových situacích,
- podporuje uživatele bez moralizování nebo nátlaku,
- umožňuje flexibilní používání bez přetížení informacemi.
Pro případné stakeholdery (např. terapeuty, výzkumníky či potenciální tvůrce eHealth řešení) může takový nástroj představovat možnost rozšíření terapeutické intervence i mimo sezení, a zlepšení adherence k DBT. Projekt tak otevírá cestu ke kombinaci digitálních a terapeutických nástrojů v oblasti duševního zdraví.
Výzkum
Abych lépe porozuměla potřebám lidí s hraniční poruchou osobnosti a tomu, jak (ne)využívají digitální nástroje, zvolila jsem kombinaci několika výzkumných metod. Od rešerší přes competitive audit až po rozhovory s cílovou skupinou.
Literární rešerše
Zmapovala jsem dostupné výzkumy v oblasti digitálních intervencí pro osoby s HPO, se zaměřením na aplikace využívající DBT přístup. Věnovala jsem pozornost tomu, jaké principy designu se ukazují jako efektivní a kde nejčastěji selhávají. Rešerše mi pomohla vytvořit základní návrhový rámec postavený na ověřených psychologických principech a validovaných přístupech.
Competitive audit
Analyzovala jsem 7 existujících aplikací zaměřených na duševní zdraví, DBT nebo přímo HPO (např. DBT Coach, Clarity, BPD Tracker, VOS, Woebot, Nepanikař). Hodnotila jsem použitelnost, jazyk, přehlednost i typ obsahu. Mezi hlavní nedostatky, kterých jsem se chtěla vyvarovat patřilo: zahlcující nebo chaotické rozhraní, přehnaně odborný nebo odtažitý jazyk, gamifikace vytvářející nepříjemný tlak, nízká důvěryhodnost obsahu (chybějící kontext, autoři, odkazy).
Polostrukturované rozhovory (n = 5)
Rozhovory jsem vedla s lidmi, kteří aktuálně procházejí DBT programem. Zaměřovala jsem se na jejich zkušenosti s digitálními nástroji, očekávání, potřeby a limity. Rozhovory odhalily, že i když většina uživatelů má k digitálním nástrojům pozitivní vztah, jejich používání často selhává kvůli přetížení, nedůvěře nebo špatně uchopenému tónu komunikace.
Klíčové insights
Uživatelské potřeby:
- Rychlý a klidný přístup k nástrojům v krizových situacích.
- Jednoduché a přehledné rozhraní bez rušivých prvků a notifikací.
- Možnost trénovat DBT dovednosti kdykoliv, bez závislosti na terapeutovi.
- Bezpečný prostor bez tlaku na výkon, uživatelé ocení jemné vedení, ne gamifikaci.
- Důvěryhodný a srozumitelný obsah, ideálně s validací od odborníků.
Persony a empathy mapa
Na základě výzkumu jsem vytvořila 2 persony reprezentující různé přístupy k technologiím a DBT dovednostem. Obě odrážejí typické charakteristiky lidí s HPO: citlivost na přetížení, potřebu bezpečí, důraz na důvěru a nízkou toleranci k invazivním nebo moralizujícím nástrojům.


Ideace
Aby návrh aplikace odpovídal reálným potřebám cílové skupiny, zaměřila jsem se v ideační fázi na kombinaci kreativních a analytických metod. Pomocí nich jsem generovala nápady, vizualizovala možné cesty a zároveň si kladla otázky, jak budou návrhy působit na cílové uživatele.
Rychlý brainstorming: Crazy 8s
Metodu Crazy 8s jsem použila pro rychlé rozkreslení různých variant úvodní obrazovky aplikace. Cílem bylo v krátkém čase prozkoumat různé cesty, jak uživatele uvítat, a zároveň se zamyslet nad tím, co už v prvních vteřinách aplikace potřebuje cítit: přehlednost, klid, jednoduchost.
Strukturování myšlenek: Affinity diagram
Výstupy z brainstormingu, výzkumných rozhovorů i konkurenční analýzy jsem seskupila pomocí affinity diagramu. Kladla jsem si následující klíčové otázky:
- Co je nezbytné, aby aplikace plnila svůj účel?
- Co může být užitečné, ale nesmí odvádět pozornost?
- Co může být problematičtější pro osoby s HPO a mělo by být navrženo s maximální citlivostí?
Díky této fázi jsem si vědomě vymezila, čemu se chci v návrhu vyhnout, kdy šlo například o:
- přehnaně výkonnostní gamifikaci, která by mohla zvyšovat tlak,
- příliš komplexním obrazovkám nebo zahlcujícím navigacím,
- rušivým notifikacím a přehnaně „pozitivní“ komunikaci bez kontextu.
Vizuální styl a rozhraní
Barvy a grafický styl jsem volila vědomě s ohledem na potřeby osob s hraniční poruchou osobnosti.
- Barvy: neutrální a jemné odstíny (modrá), bez výrazných kontrastů
- Typografie: jemná, dobře čitelná
- Layout: jednoduchý, předvídatelný, bez zbytečných animací nebo efektů
Každý vizuální prvek jsem posuzovala i optikou kognitivního a emočního zatížení.


Desing a prototypování
Na základě výzkumu a předchozí ideace jsem přistoupila k návrhu mobilní aplikace. Celým procesem jsem postupovala iterativně, od skic přes testované wireframy až po finální prototyp.
Lo-fi wireframes a první testování
Prvním krokem bylo vytvoření jednoduchých černobílých wireframů, které jsem navrhla ve Figmě. Tyto návrhy se zaměřovaly především na přehlednou navigaci v aplikaci a na základní rozvržení funkcí.
Wireframy jsem testovala se 3 uživateli z cílové skupiny prostřednictvím rozhovorů a pozorování průchodu návrhem. Zpětná vazba odhalila například:
- potřebu zjednodušení textů,
- nepřehlednost v krizové sekci, větší důraz na krizovou sekci,
- potřebu vizuálního ukotvení a jemných prvků, které podporují orientaci (mikrotexty, ikonky).
Iterace
Na základě poznatků z testování jsem provedla několik úprav:
- zjednodušila jsem jazyk a nahradila odborné výrazy srozumitelnými formulacemi,
- přeorganizovala jsem prvky na obrazovkách tak, aby byly nejdůležitější funkce vždy po ruce,
- doplnila jsem mikrotexty a vizuální orientační prvky, které napomáhají klidnému procházení aplikací,
- upravila jsem barevné kontrasty pro zajištění čitelnosti a přístupnosti (zejména pro uživatele se zvýšenou citlivostí).
Hi-fi wireframy a interaktivní prototyp
Po iteraci jsem připravila high-fidelity wireframy a interaktivní prototyp ve Figmě.
Finální klíčové funkce, který prototyp obsahoval byly následující:
- Záznam symptomů a nálad – jednoduchý mood tracker, tracker symptomů, aktivit,
- DBT techniky – jasně popsaná cvičení a dovednosti,
- Krizová pomoc – přehledný výběr možností podpory (např. dechová cvičení, SOS kontakt),
- Psychoedukace – krátké, čitelné články a vysvětlení DBT principů,
- Profil uživatele – možnost sledování aktivity bez soutěživých prvků.
- Gamifikace – vhodně zvolená, nenásilná gamifikace.


Testování a iterace
Po dokončení high-fidelity prototypu jsem přistoupila k finálnímu otestování návrhu. Cílem bylo ověřit srozumitelnost, použitelnost a celkový dojem z aplikace. Kombinovala jsem kvalitativní i kvantitativní metody.
Kvalitativní usability testing
Testování podstoupili 4 účastníci z cílové skupiny (osoby procházející DBT programem), a to formou pozorování při interakci s prototypem doplněné o polostrukturovaný rozhovor.
Co fungovalo dobře:
- Uživatelé oceňovali jednoduchost a přehlednost rozhraní.
- Krizová pomoc byla snadno dostupná a tvorba krizového plánu dobře vysvětlená.
- Design působil uklidňujícím a nerušivým dojmem.
- Chválili možnost sledovat vlastní náladu společně se symptomy.
Co bylo potřeba upravit:
- Některé texty byly stále vnímány jako „terapeuticky odborné“, uživatelé chtěli přirozenější a lidštější tón.
- Orientace v sekci s krizovým plánem byla lehce matoucí, bylo potřeba přidat popisky a rozdělit obsah.
- Uživatelé si přáli mít možnost „oblíbených cvičení“ nebo posledních aktivit pro rychlejší návrat.
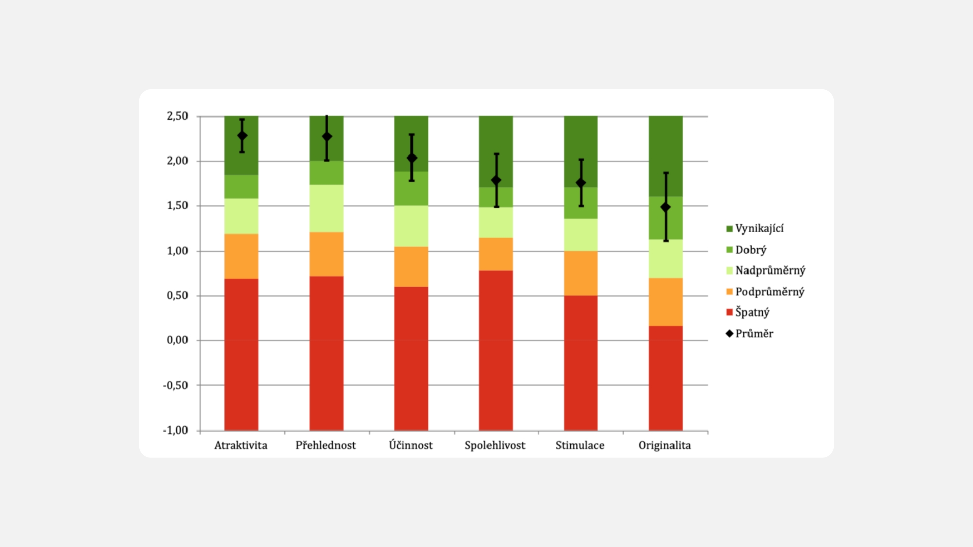
Kvantitativní evaluace (User Experience Questionnaire)
K získání strukturované zpětné vazby jsem použila dotazník UEQ, který vyplnilo 26 respondentů. Dotazník hodnotí uživatelskou zkušenost v 6 dimenzích: přehlednost, atraktivita, efektivita, spolehlivost, stimulace, originalita. Autoři dotazníku poskytují také srovnávací dataset, se kterými jsem výsledky testování porovnávala.
Výsledky:
- Všechny dimenze kromě originality dosáhly hodnot v pásmu „vynikající” (lepší než 75 % produktů v databázi autorů dotazníku).
- Originalita byla hodnocena jako nadprůměrná (mezi 50–75 % nejlepšími produkty), což by mohlo reflektovat záměr vytvořit spíše klidné a konzervativní prostředí než „výstřední“ či příliš inovativní design.
Celkově výsledky ukazují, že návrh aplikace nejen odpovídá potřebám uživatelů s HPO, ale zároveň přináší nadstandardní uživatelský zážitek ve srovnání s benchmarkovými daty.

Výsledky a dopad
Měřitelné výsledky
- UEQ skóre vykazovalo výrazně pozitivní vnímání ve všech šesti dimenzích.
- 100 % účastníků testování uvedlo, že by aplikaci využívali jako doplněk k terapii.
- Uživatelé popsali aplikaci jako klidnou, přehlednou, nápomocnou.
Kvalitativní zpětná vazba
- „Líbí se mi, že můžu mít cvičení a dovednosti konečně při sobě kdykoliv budu chtít.“
- „Myslím si, že v krizi by mi mohla pomoci, určitě bych ji využívala.“
- „Připadá mi super mít možnost sledovat pokrok v mých náladách a posouvat se dál.“
Dopad
Projekt přináší návrh, který:
- adresuje mezeru v oblasti digitálních nástrojů pro lidi s HPO,
- využívá evidence-based přístup, čímž podporuje důvěryhodnost u uživatelů i terapeutů,
- ukazuje, že jednoduchost, dostupnost a emoční bezpečí mohou být stejně důležité jako funkce samotné.
Reflexe
Výzvy
- Balanc mezi jednoduchostí a funkčností: bylo náročné najít rovnováhu mezi tím, co uživatelé skutečně potřebují, a tím, co by je mohlo zatížit.
- Práce s citlivým tématem: vyžadovala empatii, pečlivé formulace i citlivý způsob vedení výzkumu.
- Potřeba důvěryhodného obsahu: klíčové bylo opírat návrhy o ověřené metody (DBT) a psychologický výzkum. Cílová skupina potřebuje cítit, že aplikace je seriózní a podložená vědou.
Co jsem se naučila?
- Na detailech záleží, i maličkost jako formulace notifikace může měnit uživatelský zážitek.
- Méně je více. Uživatelé často nepotřebují nové funkce, ale jasnější, klidnější nástroje.
Co bych dnes udělala jinak?
- Začala bych dříve prototypovat a testovat průběžně.
- Přizvala bych k evaluaci také terapeuty jako odborné stakeholdery.
Tento projekt mi umožnil propojit výzkum, psychologii a design v tématu, které má pro mě osobní i profesní význam. Naučila jsem se navrhovat s ohledem na kognitivní i emoční specifika uživatelů, testovat průběžně a pracovat s citlivou zpětnou vazbou. Výsledkem je návrh aplikace, která není zahlcující, ale podpůrná – přesně taková, jakou lidé s HPO často potřebují. I když šlo o školní projekt, otevřel mi dveře k hlubšímu zájmu o navrhování digitálních řešení v oblasti duševního zdraví.